فهرست محصولات مایان‌شیمی

برای یافتن محصول مورد نظر، می‌توانید بر اساس نام، کد محصول و CAS Number، محصول خود را جست‌وجو کنید.

1.09762

Silicon oil 550

18566

CAS Number: 25182-74-5

all-cis-4 7 10 13 16-Docosapentaenoic acid

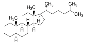
47124

CAS Number: 481-21-0

5-α-Cholestane

CRM47571

CAS Number: 2734-47-6

cis-5 8 11 14 17-Eicosapentaenoic acid methyl ester

18109

CAS Number: 66-25-1

Hexanal

63978

CAS Number: 1073-00-3

(RS)-(Methylenecyclopropyl)acetic acid

1.09693

CAS Number: 111-82-0

Methyl laurate

1.12513

CAS Number: 407-25-0

Trifluoroacetic anhydride

47133

CAS Number: 83-46-5

β-Sitosterol